Runge-Kutta Method - Exercise 2 Solution

Numerical Methods for Solving Differential Equations

The Runge-Kutta Method

Using the Method with Mathematica

(continued from last page...)

Solution to Exercise 2

Solution
Name
Differential
Equation
Initial
Condition
Solve
up to
Number
of Steps
rkex2 y′ = x - y y(0) = 0.5 x = 1 20

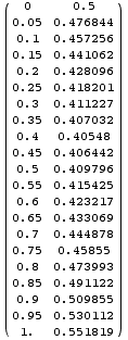
Your solution, in tabular form, should have looked something like this:

Table

And your plot of this solution should have looked something like this (though your points may not have been this size, or in color):

Plot

If your solution doesn't match what you see here, then go back to Mathematica and carefully check the parameters that you passed to the RK4 program. If necessary, change them, and reevaluate the commands.

Now, back to the exercises...